Pâturage tournant bovin laitier dans le Wisconsin (USA)

Publié le : 14 October 2025
Domaines : Écologie
Écrit par : rodolphe
Niveau de difficulté :

L’herbe est une ressource renouvelable dont le taux de croissance dépend de la période de l’année mais aussi de sa hauteur et des condition météorologiques. Une gestion fine du pâturage demande donc de fixer de manière dynamique, le niveau de chargement (nombre d’animaux par hectare) pour nourrir les animaux tout en évitant les phénomènes de surpâturage. Du fait de l’incertitude sur la croissance de l’herbe liée aux conditions météorologiques, l’enjeu est de mettre en œuvre des séquences de pâturage qui soient non seulement productives mais aussi robustes et adaptables.

 

Ce problème est décrit en détails dans : 

Sabatier R, Oates, LG, Jackson RD, 2015, Management flexibility of a grassland agroecosystem: A modeling approach based on viability theory, Agricultural Systems http://dx.doi.org/10.1016/j.agsy.2015.06.008

 

Le système se caractérise par :

  • deux états X(t) la biomasse de la ressource en herbe et P(t) le niveau de production cumulée. 

  • un contrôle U(t), le chargement

  • une incertitude ω ∈ Ω sur le taux de croissance de l’herbe

 

modele wi

 

Du fait du pas de temps journalier de la gestion du chargement, le modèle est discrétisé en temps. De plus, les vaches étant retirées des parcelles pendant plusieurs mois d’affilée en hiver, on se focalise sur une seule saison de pâturage, ce qui implique un horizon temporel finit, t ∈ [90, 300].

 

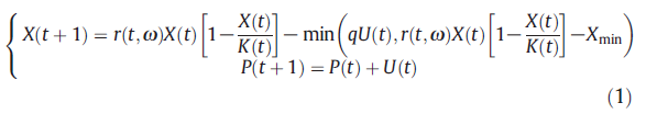
La dynamique est la suivante :

eqn

 

 

Avec r(t, ω) le taux de croissance de l’herbe, K(t) un coefficient de saturation, Xmin, la biomasse d’herbe correspondant à la hauteur minimale de pâturage (les vaches sont incapables de prélever de l’herbe d’une hauteur inférieure à un certain seuil), q la quantité de biomasse prélevée par vache et par jour. 

 

Deux contraintes sont définies :

  • Une contrainte visant à éviter le surpâturage : qU(t) ≤ X(t)−Xmin

  • Une contrainte visant à assurer un niveau minimal de production sur la saison P(T) ≥ Pmin

Values of model parameters :

  •  saturation coefficient $K$ and growth coefficient $r$ depend on time and take the successive values of the corresponding vectors at times 90, 105, 140, 200, 251, 280, and 320 ; 

 

  • t 90 105 140 200 251 280 320
    K 382.14 423.81 894.21 1573.0 750.83 882.0 152.86
    r 1.07 1.11 1.07 1.04 1.06 1.05 , 1.0

     

  • $q$ is the daily feed intake by cattle, $q = 14.3$;
  • and $w$ is a multiplying coefficient that reflects the daily weather variation, $w \in [0.95; 1.0; 1.05]$.