Ecologie
Lake eutrophication and riparian holdings
Introduction
The accumulation of nutrients (such as phosphorus or nitrogen) in the water of a lake can lead to a change of state that results in the proliferation of algae, the degradation of water quality and biodiversity, and possibly bacterial blooms: this is eutrophication. The problem of the lake and its riparian holdings is to determine whether it is possible to reconcile the practice of an activity which provides nutrients and the conservation of the lake in a desirable state (oligotrophic, as opposed to eutrophic).
This problem is described in detail in:
S. Martin. The cost of restoration as a way of defining resilience: a viability approach applied to a model of lake eutrophication. Ecol. Soc. http://www.ecologyandsociety.org/vol9/iss2/art8
Nutrients inputs $L$ must be above a minimal threshold $L_{min}$, to take into account the needs of the holdings' activities; And the concentration of total Phosphorus $P$ must remain below a threshold $P_{max}$, to keep the lake in an oligotrophic state. These desirable states form the constraints set $K=[L_{min}, +\infty[ \times [0,P_{max}]$.
The evolution of the concentration of total phosphorus in the lake is modeled by a pseudo-sygmoid:
$$\frac {dP} {dt}=-bP(t)+L(t)+r\frac {P(t)^{q}} {m^{q} + P(t)^{q}} \qquad$$
It is assumed that the evolution of phosphorus inputs can be controlled (by decontamination units, the establishment of wetlands, changes in agricultural or industrial practices, etc.), and we model these controls by a single quantity $u\in U=[u_min,u_max]$. The dynamics of the inputs are modeled by:
$$\frac {dL} {dt}=u \in [- u_{min}, u_{max}] \qquad$$
The viabillity problem is then defined by:
\begin{equation} \label{eq:systemlac}
(P)\left\{
\begin{array}{l}
\frac{dL}{dt}=u\in U=\left[ u_{min},u_{max}\right] \\
\frac{dP}{dt}=-b P(t) + L(t) +r\frac{P(t)^{q}}{m^{q} + P(t)^{q}} \\
\left(L(t),P(t)\right) \in K=[L_{min}, +\infty[ \times [0,P_{max}]
\end{array}
\right.
\end{equation}
Exemple 1
The viabillity kernel can be obtained by calculating an integral curve (see page 22 in https://arxiv.org/pdf/2107.02684 ). Next figure shows the result for the following parameters: $b=1,95$ an$^{-1}$ ; $q=1,9$ ; $m=19,44\ \mu gl^{-1}$; $r=72,22\ \mu gl^{-1}$ an$^{-1}$; $L_{min}=1,25\ \mu gl^{-1}$ ; $P_{max}=17,39\ \mu gl^{-1}$ ; $|u_{min}|=u_{max}=3,15$.
In light blue the viabillity kernel. The dotted marine line shows the equilibrium curve of the system.
An approximation can be calculated directly with viability kernel calculation software such as ViabLab.
File .json (to be placed in the following repertory: VIABLAB/INPUT): Lac_params.json
File .h (to be placed in the following repertory: VIABLAB/source/data : data_Lac.h
These files correspond to the parameters: $b=0.8$ year$^{-1}$ ; $q=8$ ; $m=1\ \mu gl^{-1}$; $r=1\ \mu gl^{-1}$ year$^{-1}$; $L_{min}=0.1\ \mu gl^{-1}$ ; $P_{max}=1.4\ \mu gl^{-1}$ ; $|u_{min}|=u_{max}=0.09$.
Le contrôle est discrétisé sur 3 valeurs étant donné les spécificités du problème.
La discrétisation est faite sur 5000 points / axe. L'approximation calculée par ViabLab est montrée sur la figure suivante. En rouge les seuils des contraintes. On voit que l'approximation du noyau est bien faite par l'extérieur.

Pâturage tournant bovin laitier dans le Wisconsin (USA)
L’herbe est une ressource renouvelable dont le taux de croissance dépend de la période de l’année mais aussi de sa hauteur et des condition météorologiques. Une gestion fine du pâturage demande donc de fixer de manière dynamique, le niveau de chargement (nombre d’animaux par hectare) pour nourrir les animaux tout en évitant les phénomènes de surpâturage. Du fait de l’incertitude sur la croissance de l’herbe liée aux conditions météorologiques, l’enjeu est de mettre en œuvre des séquences de pâturage qui soient non seulement productives mais aussi robustes et adaptables.
Ce problème est décrit en détails dans :
Sabatier R, Oates, LG, Jackson RD, 2015, Management flexibility of a grassland agroecosystem: A modeling approach based on viability theory, Agricultural Systems http://dx.doi.org/10.1016/j.agsy.2015.06.008
Le système se caractérise par :
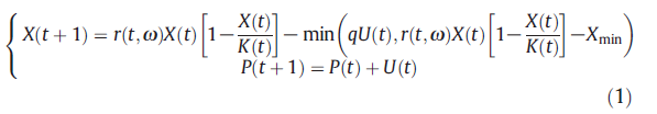
deux états X(t) la biomasse de la ressource en herbe et P(t) le niveau de production cumulée.
un contrôle U(t), le chargement
une incertitude ω ∈ Ω sur le taux de croissance de l’herbe

Du fait du pas de temps journalier de la gestion du chargement, le modèle est discrétisé en temps. De plus, les vaches étant retirées des parcelles pendant plusieurs mois d’affilée en hiver, on se focalise sur une seule saison de pâturage, ce qui implique un horizon temporel finit, t ∈ [90, 300].
La dynamique est la suivante :

Avec r(t, ω) le taux de croissance de l’herbe, K(t) un coefficient de saturation, Xmin, la biomasse d’herbe correspondant à la hauteur minimale de pâturage (les vaches sont incapables de prélever de l’herbe d’une hauteur inférieure à un certain seuil), q la quantité de biomasse prélevée par vache et par jour.
Deux contraintes sont définies :
Une contrainte visant à éviter le surpâturage : qU(t) ≤ X(t)−Xmin
Une contrainte visant à assurer un niveau minimal de production sur la saison P(T) ≥ Pmin
Values of model parameters :
- saturation coefficient $K$ and growth coefficient $r$ depend on time and take the successive values of the corresponding vectors at times 90, 105, 140, 200, 251, 280, and 320 ;
| t | 90 | 105 | 140 | 200 | 251 | 280 | 320 |
| K | 382.14 | 423.81 | 894.21 | 1573.0 | 750.83 | 882.0 | 152.86 |
| r | 1.07 | 1.11 | 1.07 | 1.04 | 1.06 | 1.05 | 1.0 |
- $q$ is the daily feed intake by cattle, $q = 14.3$;
- and $w$ is a multiplying coefficient that reflects the daily weather variation, $w \in [0.95; 1.0; 1.05]$.
Cas du maraîchage
Viabic
But du projet
Trouver pour chaque individu son ensemble d'engagements préservant la viabilité de chacun. Un ensemble d'engagements individuel corresponds à l'ensemble des contrôles (actions min à max, supposées continues) que l'individu peut exercer.
Code
Le code est disponible sur la forge INRAE. Les supports de présentation de viabic sont disponibles sur HAL.
La résolution du problème (ie trouver les bornes des ensembles d'engagements individuels) s'appuie sur une optimisation par essaim particulaire (PSO - Particle Swarm Optimization).
Résilience et changements de régime dans les pêcheries continentales au Sénégal
Résumé
Ce travail propose d’explorer comment les concepts de durabilité, de résilience et de changement de régime peuvent être mobilisés dans le cadre de la modélisation et simulation participative (approche ComMod).
En s’appuyant sur la méthode développée par Mathias et al. (2024) pour identifier les différents régimes d’un modèle stochastique, nous avon adapté ces outils à un modèle multi-agents représentant la pêcherie du lac de Guiers au Sénégal. L’objectif est d’évaluer, comment un système socio-écologique soumis à des incertitudes peut passer d’un état « satisfaisant et durable » à un état « satisfaisant et non-durable » ou « non satisfaisant durable », ou inversement (c.f. fig. 1), selon les conditions définies collectivement avec les parties prenantes.

Au-delà de la mise en œuvre technique, cette étude initie une réflexion sur les enjeux de l'exploration des régimes dans un cadre participatif, où les résultats de la modélisation peuvent déboucher sur des recommandations difficiles — comme une suspension temporaire de la pêche pour préserver la ressource. Elle souligne à la fois le potentiel de ces approches pour structurer le dialogue entre chercheurs et acteurs de terrain, et leurs limites pratiques liées à la complexité des modèles et à la nature stochastique des systèmes étudiés. Ce travail constitue ainsi une première étape vers une intégration concrète des notions de durabilité et de résilience dans les processus de décision collective autour de la gestion durable des pêcheries continentales
Les idées originelles
L’article « From tipping point to tipping set: Extending the concept of regime shift to uncertain dynamics for real-world applications » (Mathias, Deffuant & Brias, Ecological Modelling, 2024) propose une refondation du concept de changement de régime dans les systèmes socio-écologiques. Les auteurs soulignent que la définition classique, basée sur des transitions entre bassins d’attraction dans des systèmes déterministes, devient inadaptée lorsque les dynamiques sont soumises à des perturbations aléatoires. Pour pallier cela, ils introduisent la notion d’ensemble de bascule (tipping set), qui remplace le point de bascule unique. Leur approche s’appuie sur la définition d’un ensemble de satisfaction, correspondant aux états jugés « souhaitables » selon des critères écologiques, économiques ou sociaux, et sur deux indicateurs statistiques : le temps moyen de séjour dans cet ensemble et le temps médian de sortie. Ces mesures permettent de distinguer différents régimes — satisfaction durable, satisfaisant non durable, insatisfaisant durable, insatisfaisant non durable, et résiliente — et de caractériser la stabilité du système en prenant en compte les incertitudes.
Le contexte de l'intervention
Le travail s’inscrit dans le cadre du Living Lab de Mbane initier dans le cadre du projet Santés & Territoires, autour du lac de Guiers au Sénégal, où la pêche constitue à la fois une ressource alimentaire essentielle et un pilier économique pour les communautés locales. Face à la surexploitation des ressources halieutiques et aux pressions environnementales, Nous avons mis en place une démarche de modélisation d’accompagnement (ComMod) visant à co-construire avec les pêcheurs une compréhension partagée du système de pêche pour identifier les marges de manoeuvre d'addapations. Cette approche participative, a permis de co-construire un modèles a base d'agent (avec NetLogo) avec les pêcheurs du lac, qui permet de relier les savoirs locaux aux outils scientifiques. L’objectif est d’aider les acteurs locaux à anticiper les impacts de leurs pratiques et à formuler collectivement des règles de gestion plus robustes et adaptées à leur contexte socio-écologique.
Les résultats
Les résultats de ce travail montrent d’abord la faisabilité technique de l’implémentation des calculs de régimes dans des modèles stochastiques, en s’appuyant sur les travaux de Mathias et al. (2024). Après avoir vérifié la validité de leur approche sur un modèle théorique d’exploitation de ressources naturelles, les auteurs l’appliquent à un modèle multi-agents représentant la pêcherie du lac de Guiers au Sénégal. Les simulations permettent d’identifier différents types de régimes selon des critères de satisfaction définis collectivement : la durabilité économique des pêcheurs (mesurée par leur capital) et la durabilité écologique (liée à la biomasse du lac). Ces exploration révèlent que, dans les conditions simulées, les situations véritablement « satisfaisantes et durables » sont rares : le système tend globalement vers des états non durables, suggérant une vulnérabilité structurelle de la pêcherie face à la pression d’exploitation.

Malgré la portée largement qualitative et exploratoire de ces résultats, le modèle n’étant pas encore calibré sur des données réelles. l'intérêt réside surtout dans la démonstration du potentiel de ces outils pour accompagner les acteurs dans la compréhension des dynamiques complexes de la pêche et dans la formulation de décisions collectives. En particulier, l’identification d’ensembles de bascule — zones d’incertitude entre régimes durables et non durables — offre un support de discussion sur les limites et les risques liés à certaines pratiques. Nous soulignons enfin que ces approches nécessitent un dialogue étroit avec les parties prenantes, car elles peuvent aboutir à des recommandations difficiles, comme la fermeture temporaire de la pêche, tout en constituant une base solide pour articuler modélisation scientifique, participation locale et gestion durable des ressources.
Systèmes transhumant multi-espèce en Mongolie
Ce modèle représente l’effet du pâturage de troupeaux plurispécifiques sur la ressource alimentaire ainsi que ces effets sur le revenu et la capacité d’autosubsistance des éleveurs. Du fait de la nature très extensive des troupeaux considérés, seul un contrôle correspondant à l’abattage des animaux permet de réguler le troupeau (pas de gestion de la reproduction ni d’affouragement).
Ces systèmes pastoraux ont la particularité d’être soumis à des aléas bioclimatiques extrêmes nommés Dzuds qui seront au centre de la démarche de modélisation que nous entreprendrons.
Les Dzuds correspondent à des épisodes de mortalité massive et soudaine dans les troupeaux intervenant généralement en fin d’hiver lorsque le chargement est trop important par rapport à la ressource fourragère et que les conditions climatiques sont particulièrement rudes. Ce phénomène binaire dépend donc à la fois des pratiques des éleveurs et des conditions climatiques puisque c’est bien la combinaison des deux facteurs qui entraine son déclenchement.
Le modèle que nous avons développé lie la dynamique de troupeaux de 5 espèces d’herbivores (bovins, ovins, caprins, équins et chameaux) à la dynamique de la ressource fourragère et pose le Dzud comme mécanisme central dans la dynamique du système.

Sur le plan méthodologique, ce cas d'application à permis d'évaluer sur un même cas d’étude les trois propriétés de robustesse, adaptabilité et résilience.
Sur le plan appliqué, le travail que nous avons mené sur le temps long sur ce cas d’étude nous a permis de comprendre finement la dynamique du système. Nous avons ainsi pu distinguer deux régimes de fonctionnement viables du système : des troupeaux à petits effectifs permettant d’éviter le déclenchement des Dzuds en préservant la ressource ou des troupeaux à très grands effectifs permettant d’encaisser les Dzuds lorsque ceux-ci se produisent.
Le modèle détaillé peut être retrouvé dans l'article suivant:
Rodolphe Sabatier, Frédéric Joly, Bernard Hubert. Assessing both ecological and engineering resilience of a steppe agroecosystem using the viability theory. Agricultural Systems, Elsevier Masson, 2017, 157, pp.146-156. ⟨10.1016/j.agsy.2017.07.009⟩. ⟨hal-02627849⟩
Agroécosystèmes prairiaux du Marais Poitevin

Le détail du modèle peut être retrouvé dans l'article suivant:
Rodolphe Sabatier, Luc Doyen, Muriel Tichit. Action versus Result-Oriented Schemes in grassland agroecosystem: A dynamic modelling approach. PLoS ONE, Public Library of Science, 2012, 7 (4), 11 p. ⟨10.1371/journal.pone.0033257⟩. ⟨hal-01191070⟩
Le lac et les exploitations riveraines
Introduction
The accumulation of nutrients (such as phosphorus or nitrogen) in the water of a lake can lead to a change of state that results in the proliferation of algae, the degradation of water quality and biodiversity, and possibly bacterial blooms: this is eutrophication. The problem of the lake and its riparian holdings is to determine whether it is possible to reconcile the practice of an activity which provides nutrients and the conservation of the lake in a desirable state (oligotrophic, as opposed to eutrophic).
This problem is described in detail in:
S. Martin. The cost of restoration as a way of defining resilience: a viability approach applied to a model of lake eutrophication. Ecol. Soc. http://www.ecologyandsociety.org/vol9/iss2/art8
Nutrients inputs $L$ must be above a minimal threshold $L_{min}$, to take into account the needs of the holdings' activities; And the concentration of total Phosphorus $P$ must remain below a threshold $P_{max}$, to keep the lake in an oligotrophic state. These desirable states form the constraints set $K=[L_{min}, +\infty[ \times [0,P_{max}]$.
The evolution of the concentration of total phosphorus in the lake is modeled by a pseudo-sygmoid:
$$\frac {dP} {dt}=-bP(t)+L(t)+r\frac {P(t)^{q}} {m^{q} + P(t)^{q}} \qquad$$
It is assumed that the evolution of phosphorus inputs can be controlled (by decontamination units, the establishment of wetlands, changes in agricultural or industrial practices, etc.), and we model these controls by a single quantity $u\in U=[u_min,u_max]$. The dynamics of the inputs are modeled by:
$$\frac {dL} {dt}=u \in [- u_{min}, u_{max}] \qquad$$
The viabillity problem is then defined by:
\begin{equation} \label{eq:systemlac}
(P)\left\{
\begin{array}{l}
\frac{dL}{dt}=u\in U=\left[ u_{min},u_{max}\right] \\
\frac{dP}{dt}=-b P(t) + L(t) +r\frac{P(t)^{q}}{m^{q} + P(t)^{q}} \\
\left(L(t),P(t)\right) \in K=[L_{min}, +\infty[ \times [0,P_{max}]
\end{array}
\right.
\end{equation}
Exemple 1
The viabillity kernel can be obtained by calculating an integral curve (see page 22 in https://arxiv.org/pdf/2107.02684 ). Next figure shows the result for the following parameters: $b=1,95$ an$^{-1}$ ; $q=1,9$ ; $m=19,44\ \mu gl^{-1}$; $r=72,22\ \mu gl^{-1}$ an$^{-1}$; $L_{min}=1,25\ \mu gl^{-1}$ ; $P_{max}=17,39\ \mu gl^{-1}$ ; $|u_{min}|=u_{max}=3,15$.
Noyau de viabilité du problème du lac et des exploitations riveraines. In light blue the viabillity kernel. The dotted marine line shows the equilibrium curve of the system.
An approximation can be calculated directly with viability kernel calculation software such as ViabLab.
File .json (to be placed in the following repertory: VIABLAB/INPUT): Lac_params.json
File .h (to be placed in the following repertory: VIABLAB/source/data : data_Lac.h
These files correspond to the parameters: $b=0.8$ year$^{-1}$ ; $q=8$ ; $m=1\ \mu gl^{-1}$; $r=1\ \mu gl^{-1}$ year$^{-1}$; $L_{min}=0.1\ \mu gl^{-1}$ ; $P_{max}=1.4\ \mu gl^{-1}$ ; $|u_{min}|=u_{max}=0.09$.
Le contrôle est discrétisé sur 3 valeurs étant donné les spécificités du problème.
La discrétisation est faite sur 5000 points / axe. L'approximation calculée par ViabLab est montrée sur la figure suivante. En rouge les seuils des contraintes. On voit que l'approximation du noyau est bien faite par l'extérieur.

